RocketReviews
Reviews
All Reviews
My Reviews
Random Review
Submit Review
Flight Logs
Flights By Flyer
Flights By Date
My Flights
My Rockets
Flight Statistics
Reference
Clubs
Motors
Products
Manufacturers
Glossary
More ...
Builds
OpenRocket Designs
Photo Albums
Site Information
What's New
More Features ...
Sign In
Sign In
Create Account
Forgot Password
Flight Logs
By Date
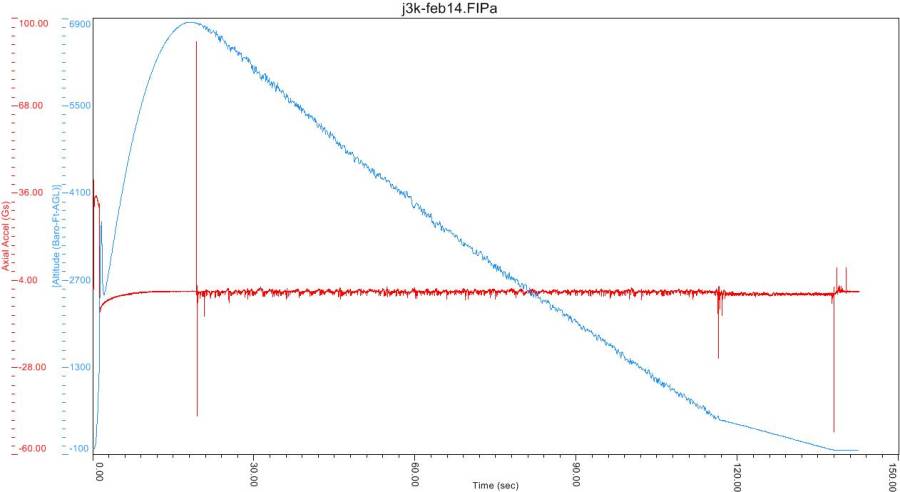
Mike Caplinger's j3k (2014-02-01)
Contributed by
Mike Caplinger
Related Flights
2014-02-01 - j3k (Mike Caplinger)